Background
Vulture conservation and rescue efforts in Bangladesh have been actively led by the Bangladesh Forest Department (BFD) and IUCN Bangladesh for more than a decade, with support from multiple national and international partners, local authorities, and community-based networks.
These long-term initiatives were undertaken in response to the rapid decline of vulture populations across South Asia and the increasing recognition of Bangladesh as an important habitat for both resident and migratory vulture species.
Over the past decade, IUCN Bangladesh and BFD have jointly established a coordinated national mechanism for vulture rescue, rehabilitation, monitoring, and threat mitigation. Rescue operations have become a critical component of this conservation strategy, particularly during the winter migration period when large numbers of Himalayan Griffon vultures enter Bangladesh. Many of these birds—especially sub-adults—face significant risks, including exhaustion from long-distance migration, food scarcity, poisoning, injuries, and human-induced threats.
Through years of field experience, IUCN Bangladesh and its partners have refined rescue protocols, strengthened rapid-response systems, and built strong relationships with local communities to ensure safe handling and timely interventions. Under this rescue and rehabilitation programme, more than 300 Himalayan Griffon vultures have been rescued, treated, rehabilitated, and successfully released back into the wild.
Since the 2025–2026 winter season, SCOPE Foundation has been actively involved in these efforts, with support from small grants provided by ICBP (UK). In addition, SCOPE Foundation has recently signed a five-year Memorandum of Understanding (MoU), valid until 2029, with Timbavati Wildlife Park (Wisconsin, USA) and Boulder Ridge Wild Animal Park (Michigan, USA) to support in-situ conservation of the Himalayan Griffon Vulture Rescue and Rehabilitation Programme in Bangladesh.
Since 2024, SCOPE Foundation has been providing technical support to the Bangladesh Forest Department and IUCN Bangladesh for the rescue and rehabilitation of Himalayan Griffon vultures. Under this initiative, three rescue centres have been upgraded, and local volunteers have received targeted capacity-building support to enhance community-based conservation efforts.
Summary
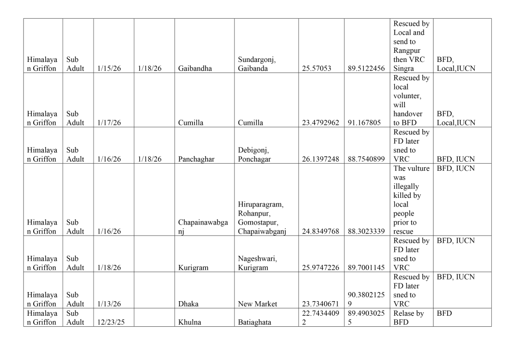
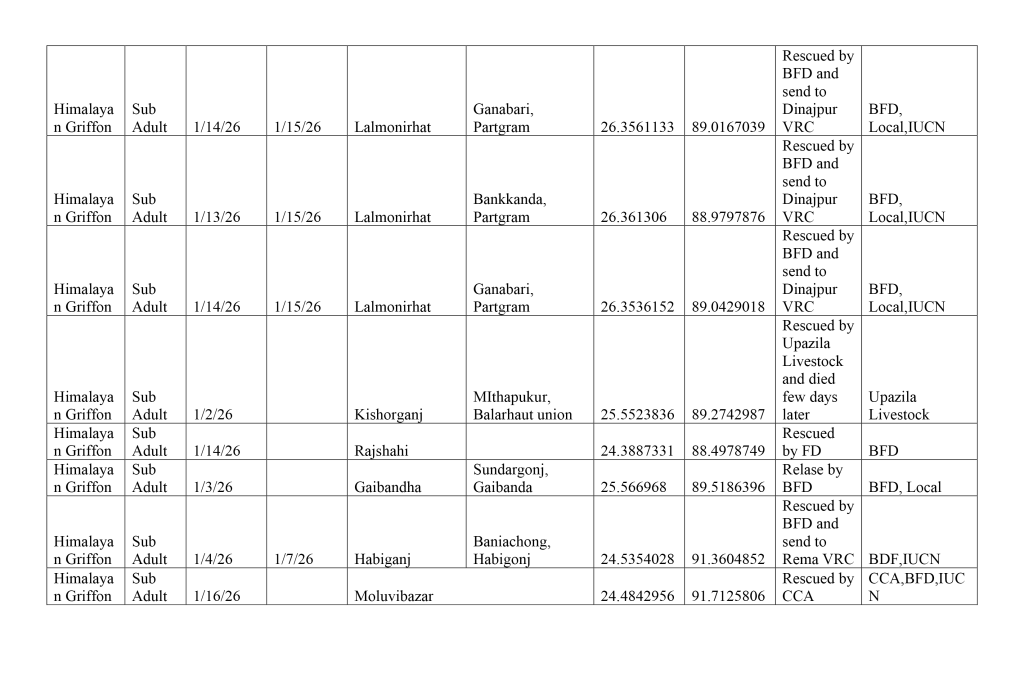
During the winter migration season of 2025–2026, Bangladesh recorded a notably high number of vulture stranding and rescue incidents across the country. A total of 51 vultures were rescued nationwide, highlighting Bangladesh’s increasing importance as a wintering and stopover habitat for migratory vulture species.
Among the rescued individuals, 49 were Himalayan Griffon vultures (Gyps himalayensis), one was a White-rumped Vulture (Gyps bengalensis), and one was an Egyptian Vulture (Neophron percnopterus). The majority of these birds were sub-adults and were found in weakened conditions due to long-distance migration, exhaustion, dehydration, injuries, or disorientation. In several cases, vultures were also affected by human-induced threats, including persecution and physical trauma.
Rescue operations were conducted through coordinated efforts involving the Bangladesh Forest Department (BFD), IUCN Bangladesh, local authorities, trained volunteers, and community members. Rescued birds were transferred to designated Vulture Rescue Centres (VRCs) for treatment, rehabilitation, and monitoring. In some instances, individuals were assessed and safely released directly from the field when conditions permitted.
Despite logistical challenges, limited infrastructure, and a high caseload during peak migration periods, all rescued vultures were successfully stabilised, treated, and released back into the wild. This season underscores Bangladesh’s growing conservation responsibility for migratory vultures and highlights the urgent need to further strengthen rescue facilities, rapid response systems, and community awareness to reduce vulture mortality in the future.
Most rescue cases were reported from northern and northeastern districts, including Dinajpur, Rangpur, Kurigram, Lalmonirhat, Nilphamari, Gaibandha, Rajshahi, Habiganj, Feni, Cox’s Bazar, and Kishoreganj. These regions are located along probable migratory corridors and are characterised by open landscapes suitable for vulture movement and temporary settlement.
Objectives of the Rescue Operations
• To rescue and rehabilitate stranded Himalayan Griffon vultures
• To prevent mortality caused by persecution, hunting, or injury
• To provide veterinary care and safe holding facilities at designated Vulture Rescue Centres (VRCs)
• To release rehabilitated individuals back into their natural habitats
• To document threats and strengthen response mechanisms for improved future interventions
Vulture Rescue Centres (VRCs) in Bangladesh
During the 2025–2026 rescue season, Bangladesh strengthened its vulture rescue operations by improving infrastructure and animal welfare standards. Currently, three dedicated facilities are operational for vulture rescue, rehabilitation, and holding, reflecting a strong national commitment to avian scavenger conservation.
All centres are equipped with reliable water supply systems to ensure proper hydration and maintain hygiene. Holding enclosures have been fitted with natural perch structures to reduce stress and support physical recovery.
To enhance biosecurity and case management, separate quarantine and isolation units have been established. Newly rescued vultures are first observed in quarantine, while sick or injured individuals are treated in isolation. These measures have significantly improved monitoring, reduced disease risk, and enhanced rehabilitation outcomes.
Singra Vulture Rescue Centre, Dinajpur
The Singra Vulture Rescue Centre (VRC), located within Singra National Park in Dinajpur, serves as the primary rescue and rehabilitation hub for northern Bangladesh. During the 2025–2026 winter migration season, it managed the highest number of vulture admissions in the country.
Its strategic location near key migratory corridors including Rangpur, Dinajpur, Kurigram, Lalmonirhat, and Nilphamari enables rapid response to rescue incidents. The centre is well-equipped with quarantine units, treatment and feeding areas, and long-term monitoring enclosures. Enhanced infrastructure and facilities have enabled Singra VRC to effectively manage a high caseload, including severely injured individuals.
All vultures were released in two phases. A total of 11 Himalayan Griffon vultures were successfully rehabilitated and released on 7 February 2026, followed by the release of 17 individuals on 14 March 2026. Among these, four vultures were fitted with unique identification rings, and one individual was equipped with a satellite tag for post-release monitoring. During the rehabilitation period, three vultures died due to stress-related conditions. One injured vulture received appropriate veterinary care, including surgery for a leg injury, and recovered successfully prior to release.
Rema-Kalenga Vulture Rescue Centre, Habiganj
The Rema-Kalenga Vulture Rescue Centre (VRC), located within Rema-Kalenga Wildlife Sanctuary in Habiganj, serves northeastern Bangladesh. It responds to rescue incidents from Habiganj, Kishoreganj, Moulvibazar, and surrounding areas.
The centre is particularly effective in managing short-term rehabilitation cases, where vultures can be stabilised, treated, and released within a relatively short period. During the 2025–2026 migration season, five Himalayan Griffon vultures admitted to this centre were successfully rehabilitated and released back into the wild between December 2025 and March 2026. Currently, one White-rumped Vulture and one Egyptian Vulture are undergoing further treatment and rehabilitation at the centre.
Birulia Vulture Rescue Centre, Savar, Dhaka
In addition to the two operational centres, a third Vulture Rescue Centre (VRC) is currently under construction at Birulia, Savar, Dhaka. Once completed, this facility will significantly strengthen national rescue capacity by serving as a central hub for holding, treatment, and coordination, particularly for cases from central and southern Bangladesh.
During the 2025–2026 period, Dhaka relied on temporary holding facilities under the Wildlife Crime Control Unit (WCCU), which were not suitable for long-term vulture care. The Birulia VRC is expected to address this gap by providing purpose-built infrastructure, including quarantine units, treatment spaces, and reliable water supply systems. This will reduce mortality associated with delayed transfers and ease operational pressure on the Singra and Rema VRCs.
Together, these three centres form the backbone of Bangladesh’s vulture rescue and rehabilitation system, enabling coordinated national responses during peak migration periods while maintaining improved welfare and biosecurity standards.
Key Challenges
• Long distances between rescue sites and designated Vulture Rescue Centres (VRCs) often lead to delayed admissions and increased stress on injured birds.
• High transportation costs for transferring vultures from remote areas place additional financial pressure on rescue operations.
• Risk of mob interference and human disturbance during rescue operations, particularly in rural areas where fear and misinformation are prevalent.
• Limited availability of temporary holding facilities in high-incidence districts restricts the ability to stabilise vultures prior to long-distance transport.
• Severe pre-rescue injuries, including gunshot wounds and trauma from human persecution, significantly reduce survival rates.
Recommendations
• Strengthen capacity building for local staff, including veterinarians, and continue improving rescue centre infrastructure and facilities.
• Ensure sustainable, long-term funding mechanisms to support the operation, maintenance, and expansion of rescue centres.
• Enhance community awareness and engagement programmes to reduce mob interference during rescue operations and promote the ecological importance of vultures.
• Implement regular satellite tagging of selected Himalayan Griffon vultures to monitor post-release survival, movement patterns, and mortality trends.
